10 ian. 2022, 16:30ActualitateŞcolile și grădinițele cu rată de vaccinare mai mică de 60% din localitățile în care incidenţa cazurilor COVID este mai mare de 3 la mie trec în online
5 nov. 2021, 13:31Actualitate8.268 de cazuri noi de Covid în România din peste 57.000 de teste. Am depășit 50.000 de decese
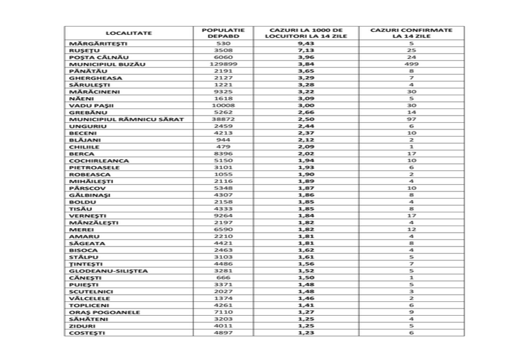
11 oct. 2021, 16:25ActualitateActivități în sistem integrat desfășurate în contextul creșterii incidenței cazurilor în județul Buzău
10 oct. 2021, 14:16ActualitateÎn 1622 de localități din întreaga țară avem incidențe de peste 3 cazuri la mia de locuitori
27 aug. 2021, 22:22ActualitatePrima comună din Buzău în care sunt anunțate restricții din cauza creșterii incidenței cazurilor de COVID